Sponsorships help make First City what is is today. We couldn’t do it with out you! We give back to the community and the grounds at the French Commons by building the stage, putting in new water lines and future projects. All money given goes towards music, art and our wonderful community. All donations are tax deductible. Please see our sponsorship packages and more ways to give. Thank you for your support. 

If you have questions about sponsorship, you can email us at firstcitymusicfestival@gmail.com

Sponsorships

Become a Sponsor

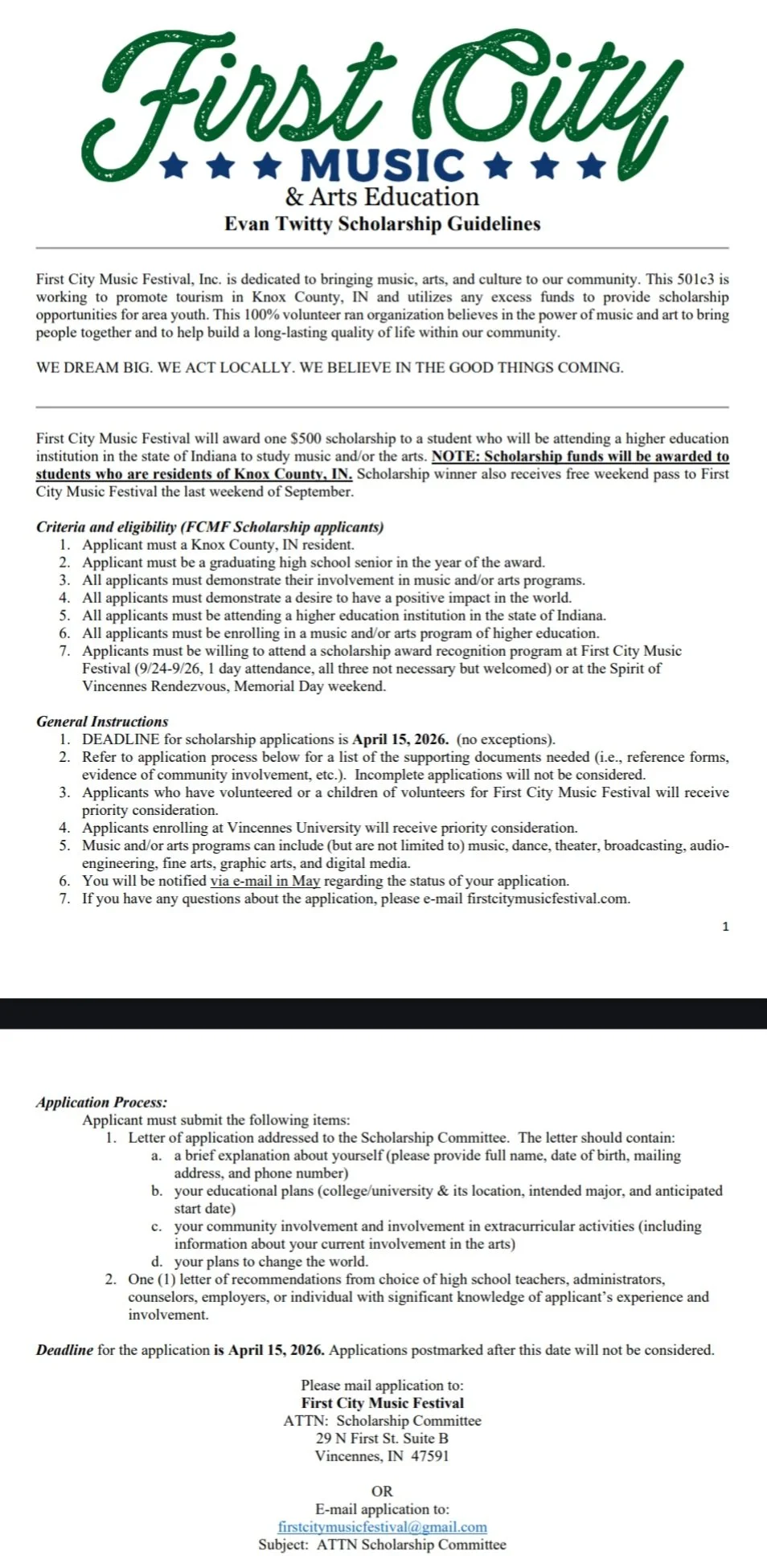
Evan Twitty Scholarship

First City is dedicated to our dear friend Evan Twitty who was taken from us too soon. Evan Twitty was a nationally acclaimed guitarist who was a South Knox graduate and was studying Audio Recording at Vincennes University.

In honor of his memory, we give out one or more scholarships every year to support music and arts for Knox County Youth.

Please consider donating to the Evan Twitty Scholarship to help keep the arts alive in our community.

Scholarship Application

Our young friend passed too early in 2020 and the First City Music Committee is proud to continue his legacy through the First City Music & Arts Evan Twitty Scholarship to help benefit Knox County youth continuing their study of music and the arts at a higher education institution in Indiana. Both Evan’s music talent and his larger than life smile and personality were blessings to our community and it is our hope that his legacy of sharing the fellowship of music will continue to be remembered through these efforts. First City Music is ecstatic to have the ability to offer ONE $500 scholarship to a Knox County youth for 2025. This scholarship is available to students of VCSC, Rivet, North Knox, and South Knox school districts, as well as home-schooled students.

  Deadline is May 7th, 2025

Scholarship Application

Photography Contest

Win a once-in-a-lifetime chance to work alongside seasoned Photographers capturing live music and telling a story with fans and FCMF. With the opportunity to experience in a wide variety of photography skills in a quickly changing environment.

The winner will receive a camping spot (primitive) and 2 tickets to the event. Food and drink are supplied for the photographer only. The winners (Photographer only) will also have a once-in-a-lifetime meet and greet, seeing Music Artists backstage with an “ALL ACCESS” pass for the duration of their stay.

Applicants must be 18 years old or older.

Contest is closed for this year.

Photography Contest Form